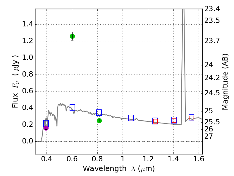
RXS0603+42-N ACS+IR detection object #2802

Color images and BPZ results
Catalog: 2802.cat
Black segments are analyzed here.   Roll mouse over color images to view segments.
Best viewed in a wide browser window (1200 pixels or more).   Download SED & P(z) plots to view larger versions.
In P(z) plots: Yellow lines mark the cluster redshift z = 0.228,  

Object #2802   x,y = (4158, 2985)   RA, Dec = (06:03:05.184, 42:16:16.68) = (90.77160, 42.27130)   BPZ = 2.975 [0.027--3.093]   type = 11.00 (SB11_A_0_l)   stellarity = 0.89   chisq2 = 243.00   ODDS = 0.94   z_cluster = 0.228