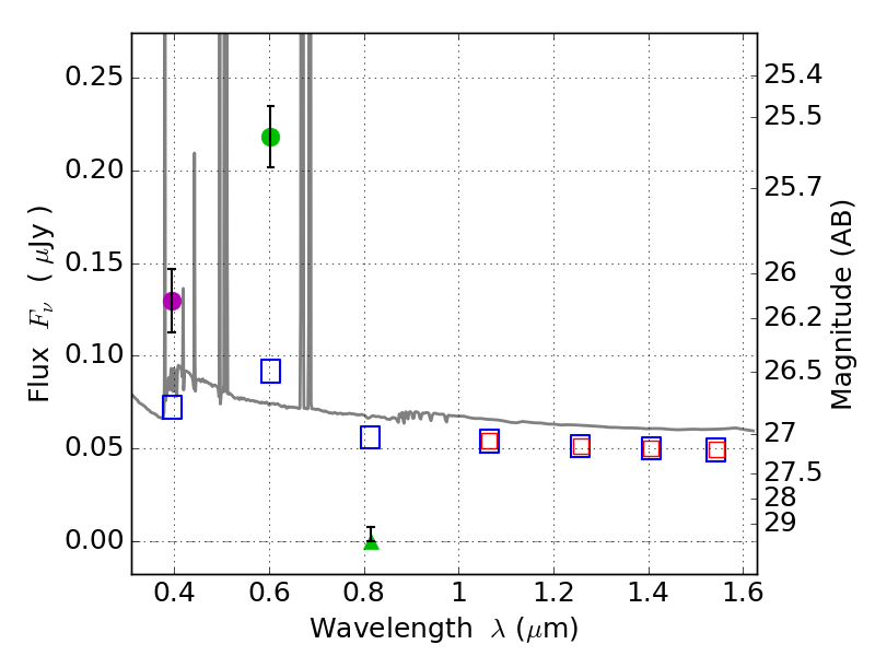
RXS0603+42-N ACS+IR detection object #2000

Color images and BPZ results
Catalog: 2000.cat
Black segments are analyzed here.   Roll mouse over color images to view segments.
Best viewed in a wide browser window (1200 pixels or more).   Download SED & P(z) plots to view larger versions.
In P(z) plots: Yellow lines mark the cluster redshift z = 0.228,  

Object #2000   x,y = (3304, 3324)   RA, Dec = (06:03:09.792, 42:16:37.20) = (90.79080, 42.27700)   BPZ = 0.020 [0.010--1.941]   type = 11.00 (SB11_A_0_l)   stellarity = 0.32   chisq2 = 94.85   ODDS = 0.77   z_cluster = 0.228