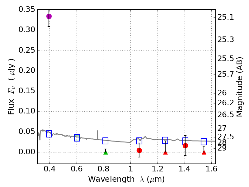
RXS0603+42-N IR detection object #985

Color images and BPZ results
Catalog: 985.cat
Black segments are analyzed here.   Roll mouse over color images to view segments.
Best viewed in a wide browser window (1200 pixels or more).   Download SED & P(z) plots to view larger versions.
In P(z) plots: Yellow lines mark the cluster redshift z = 0.228,  

Object #985   x,y = (3592, 3300)   RA, Dec = (06:03:08.232, 42:16:35.76) = (90.78430, 42.27660)   BPZ = 1.700 [1.174--2.283]   type = 11.00 (SB11_A_0_l)   stellarity = 0.70   chisq2 = 46.77   ODDS = 0.46   z_cluster = 0.228