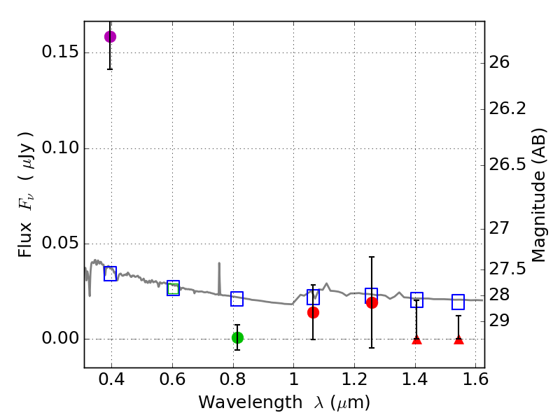
RXS0603+42-N IR detection object #984

Color images and BPZ results
Catalog: 984.cat
Black segments are analyzed here.   Roll mouse over color images to view segments.
Best viewed in a wide browser window (1200 pixels or more).   Download SED & P(z) plots to view larger versions.
In P(z) plots: Yellow lines mark the cluster redshift z = 0.228,  

Object #984   x,y = (3638, 3256)   RA, Dec = (06:03:07.992, 42:16:32.88) = (90.78330, 42.27580)   BPZ = 1.702 [0.977--2.396]   type = 11.00 (SB11_A_0_l)   stellarity = 0.46   chisq2 = 20.57   ODDS = 0.41   z_cluster = 0.228