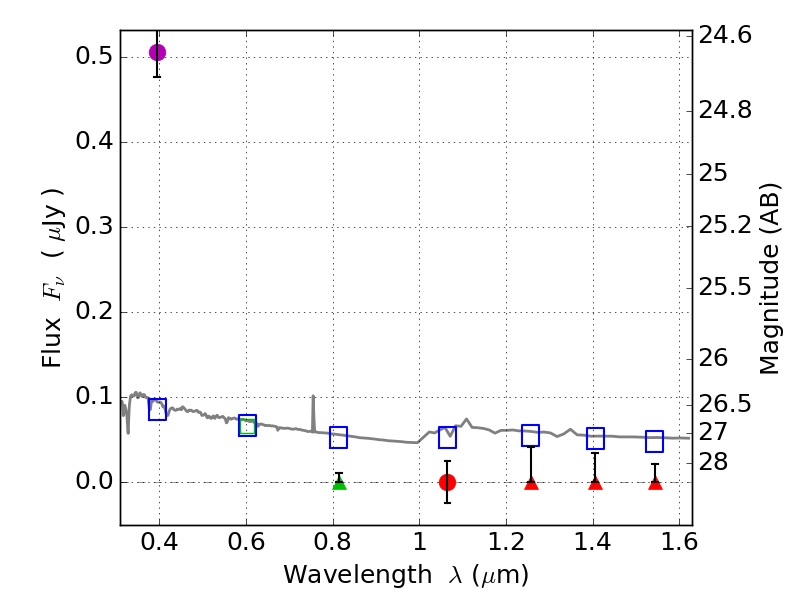
RXS0603+42-N IR detection object #983

Color images and BPZ results
Catalog: 983.cat
Black segments are analyzed here.   Roll mouse over color images to view segments.
Best viewed in a wide browser window (1200 pixels or more).   Download SED & P(z) plots to view larger versions.
In P(z) plots: Yellow lines mark the cluster redshift z = 0.228,  

Object #983   x,y = (3633, 3261)   RA, Dec = (06:03:08.016, 42:16:33.24) = (90.78340, 42.27590)   BPZ = 1.700 [1.512--2.058]   type = 11.00 (SB11_A_0_l)   stellarity = 0.66   chisq2 = 74.29   ODDS = 0.63   z_cluster = 0.228