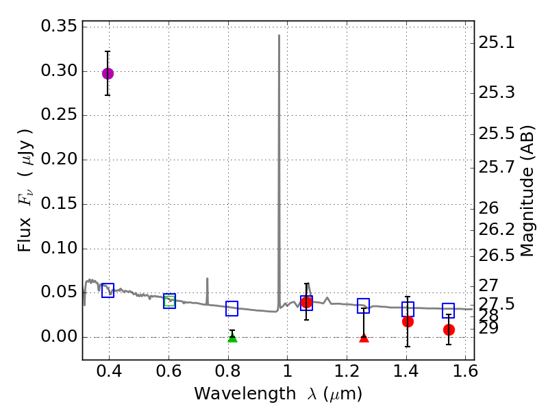
RXS0603+42-N IR detection object #977

Color images and BPZ results
Catalog: 977.cat
Black segments are analyzed here.   Roll mouse over color images to view segments.
Best viewed in a wide browser window (1200 pixels or more).   Download SED & P(z) plots to view larger versions.
In P(z) plots: Yellow lines mark the cluster redshift z = 0.228,  

Object #977   x,y = (3571, 3321)   RA, Dec = (06:03:08.352, 42:16:36.84) = (90.78480, 42.27690)   BPZ = 1.612 [1.260--2.149]   type = 11.00 (SB11_A_0_l)   stellarity = 0.08   chisq2 = 37.73   ODDS = 0.44   z_cluster = 0.228