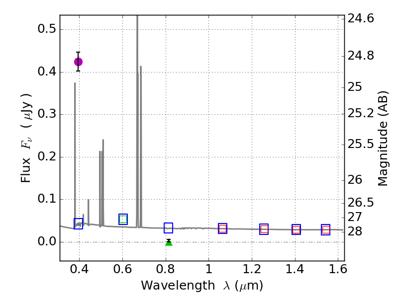
RXS0603+42-N IR detection object #949

Color images and BPZ results
Catalog: 949.cat
Black segments are analyzed here.   Roll mouse over color images to view segments.
Best viewed in a wide browser window (1200 pixels or more).   Download SED & P(z) plots to view larger versions.
In P(z) plots: Yellow lines mark the cluster redshift z = 0.228,  

Object #949   x,y = (3344, 3414)   RA, Dec = (06:03:09.576, 42:16:42.60) = (90.78990, 42.27850)   BPZ = 0.020 [0.010--1.572]   type = 11.00 (SB11_A_0_l)   stellarity = 0.66   chisq2 = 303.90   ODDS = 0.90   z_cluster = 0.228