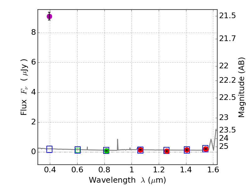
RXS0603+42-N IR detection object #946

Color images and BPZ results
Catalog: 946.cat
Black segments are analyzed here.   Roll mouse over color images to view segments.
Best viewed in a wide browser window (1200 pixels or more).   Download SED & P(z) plots to view larger versions.
In P(z) plots: Yellow lines mark the cluster redshift z = 0.228,  

Object #946   x,y = (3664, 3309)   RA, Dec = (06:03:07.848, 42:16:36.12) = (90.78270, 42.27670)   BPZ = 1.411 [1.214--1.564]   type = 11.00 (SB11_A_0_l)   stellarity = 0.95   chisq2 = 368.00   ODDS = 0.73   z_cluster = 0.228