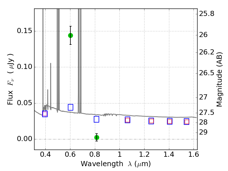
RXS0603+42-N IR detection object #927

Color images and BPZ results
Catalog: 927.cat
Black segments are analyzed here.   Roll mouse over color images to view segments.
Best viewed in a wide browser window (1200 pixels or more).   Download SED & P(z) plots to view larger versions.
In P(z) plots: Yellow lines mark the cluster redshift z = 0.228,  

Object #927   x,y = (1976, 3352)   RA, Dec = (06:03:16.992, 42:16:38.64) = (90.82080, 42.27740)   BPZ = 0.024 [0.013--3.020]   type = 11.00 (SB11_A_0_l)   stellarity = 0.71   chisq2 = 77.36   ODDS = 0.27   z_cluster = 0.228