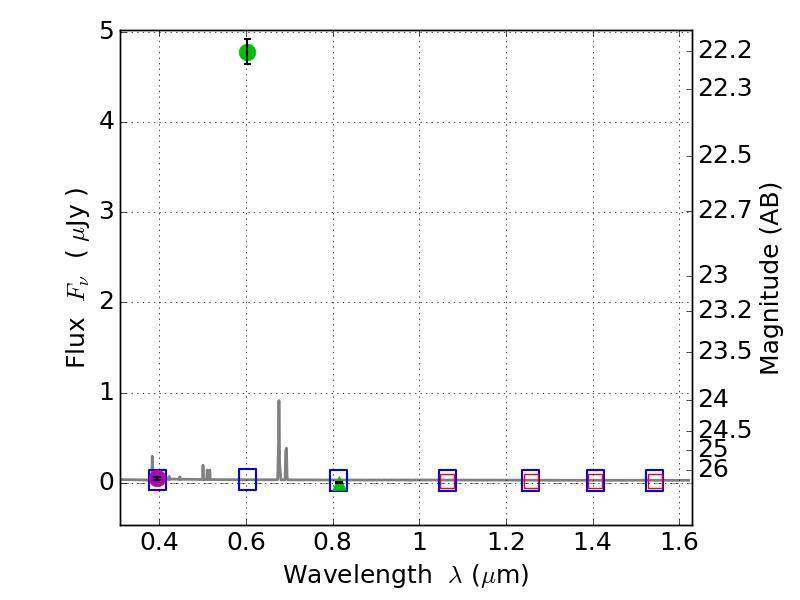
RXS0603+42-N IR detection object #925

Color images and BPZ results
Catalog: 925.cat
Black segments are analyzed here.   Roll mouse over color images to view segments.
Best viewed in a wide browser window (1200 pixels or more).   Download SED & P(z) plots to view larger versions.
In P(z) plots: Yellow lines mark the cluster redshift z = 0.228,  

Object #925   x,y = (3290, 3351)   RA, Dec = (06:03:09.864, 42:16:38.64) = (90.79110, 42.27740)   BPZ = 0.032 [0.027--2.374]   type = 11.00 (SB11_A_0_l)   stellarity = 0.99   chisq2 = 1141.00   ODDS = 0.08   z_cluster = 0.228