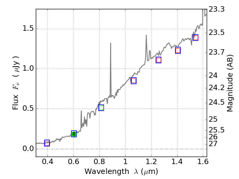
RXS0603+42-N IR detection object #9218

Color images and BPZ results
Catalog: 9218.cat
Black segments are analyzed here.   Roll mouse over color images to view segments.
Best viewed in a wide browser window (1200 pixels or more).   Download SED & P(z) plots to view larger versions.
In P(z) plots: Yellow lines mark the cluster redshift z = 0.228,  

Object #9218   x,y = (3278, 344)   RA, Dec = (06:03:09.936, 42:13:38.28) = (90.79140, 42.22730)   BPZ = 0.774 [0.198--4.886]   type = 6.50 (Scd_B10 - Sbc_B10)   stellarity = 0.95   chisq2 = 990.00   ODDS = 0.08   z_cluster = 0.228