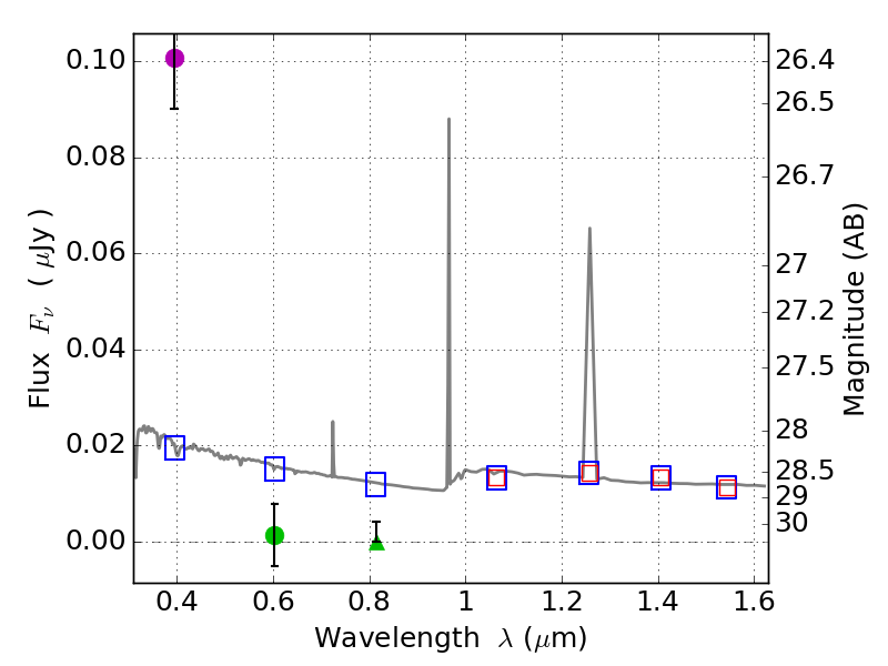
RXS0603+42-N IR detection object #911

Color images and BPZ results
Catalog: 911.cat
Black segments are analyzed here.   Roll mouse over color images to view segments.
Best viewed in a wide browser window (1200 pixels or more).   Download SED & P(z) plots to view larger versions.
In P(z) plots: Yellow lines mark the cluster redshift z = 0.228,  

Object #911   x,y = (2477, 3364)   RA, Dec = (06:03:14.280, 42:16:39.36) = (90.80950, 42.27760)   BPZ = 1.595 [0.982--10.783]   type = 11.00 (SB11_A_0_l)   stellarity = 0.39   chisq2 = 67.89   ODDS = 0.25   z_cluster = 0.228