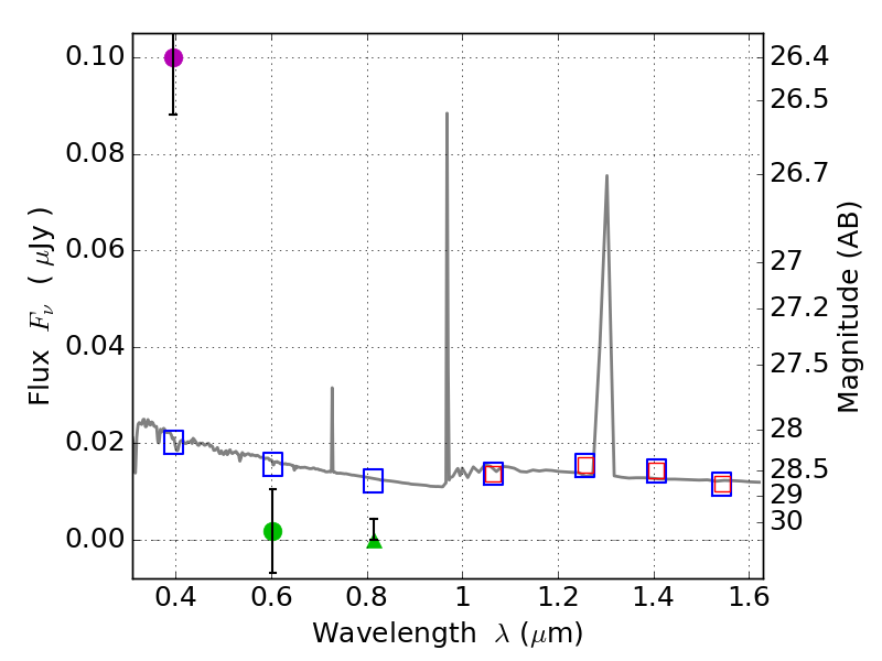
RXS0603+42-N IR detection object #910

Color images and BPZ results
Catalog: 910.cat
Black segments are analyzed here.   Roll mouse over color images to view segments.
Best viewed in a wide browser window (1200 pixels or more).   Download SED & P(z) plots to view larger versions.
In P(z) plots: Yellow lines mark the cluster redshift z = 0.228,  

Object #910   x,y = (3130, 3363)   RA, Dec = (06:03:10.752, 42:16:39.36) = (90.79480, 42.27760)   BPZ = 1.596 [0.840--2.682]   type = 11.00 (SB11_A_0_l)   stellarity = 0.48   chisq2 = 54.01   ODDS = 0.23   z_cluster = 0.228