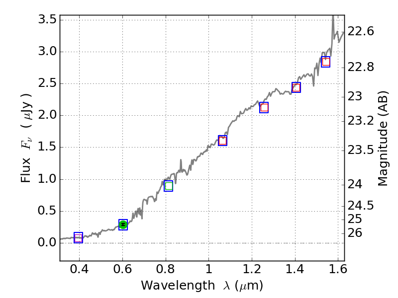
RXS0603+42-N IR detection object #8989

Color images and BPZ results
Catalog: 8989.cat
Black segments are analyzed here.   Roll mouse over color images to view segments.
Best viewed in a wide browser window (1200 pixels or more).   Download SED & P(z) plots to view larger versions.
In P(z) plots: Yellow lines mark the cluster redshift z = 0.228,  

Object #8989   x,y = (3113, 470)   RA, Dec = (06:03:10.824, 42:13:45.84) = (90.79510, 42.22940)   BPZ = 0.745 [0.188--4.546]   type = 6.00 (Sbc_B10)   stellarity = 0.99   chisq2 = 990.00   ODDS = 0.09   z_cluster = 0.228