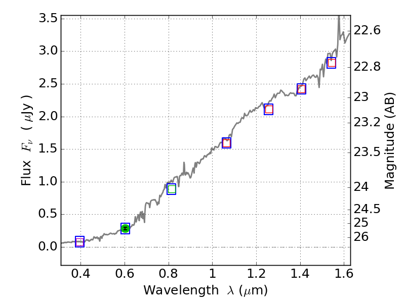
RXS0603+42-N IR detection object #8815

Color images and BPZ results
Catalog: 8815.cat
Black segments are analyzed here.   Roll mouse over color images to view segments.
Best viewed in a wide browser window (1200 pixels or more).   Download SED & P(z) plots to view larger versions.
In P(z) plots: Yellow lines mark the cluster redshift z = 0.228,  

Object #8815   x,y = (2810, 559)   RA, Dec = (06:03:12.480, 42:13:51.24) = (90.80200, 42.23090)   BPZ = 0.745 [0.188--4.546]   type = 6.00 (Sbc_B10)   stellarity = 0.65   chisq2 = 990.00   ODDS = 0.09   z_cluster = 0.228