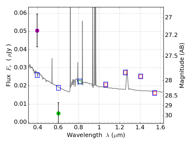
RXS0603+42-N IR detection object #8750

Color images and BPZ results
Catalog: 8750.cat
Black segments are analyzed here.   Roll mouse over color images to view segments.
Best viewed in a wide browser window (1200 pixels or more).   Download SED & P(z) plots to view larger versions.
In P(z) plots: Yellow lines mark the cluster redshift z = 0.228,  

Object #8750   x,y = (3560, 588)   RA, Dec = (06:03:08.424, 42:13:53.04) = (90.78510, 42.23140)   BPZ = 0.933 [0.605--2.376]   type = 11.00 (SB11_A_0_l)   stellarity = 0.37   chisq2 = 12.42   ODDS = 0.12   z_cluster = 0.228