RXS0603+42-N IR detection object #8707

Color images and BPZ results
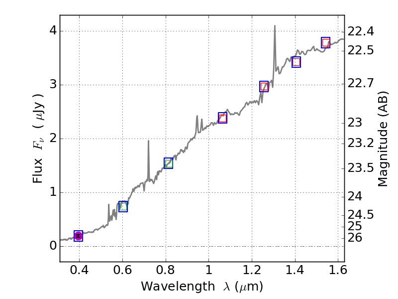
Catalog: 8707.cat
Black segments are analyzed here.   Roll mouse over color images to view segments.
Best viewed in a wide browser window (1200 pixels or more).   Download SED & P(z) plots to view larger versions.
In P(z) plots: Yellow lines mark the cluster redshift z = 0.228,  

Object #8707   x,y = (3809, 601)   RA, Dec = (06:03:07.080, 42:13:53.76) = (90.77950, 42.23160)   BPZ = 0.436 [0.051--0.865]   type = 6.30 (Sbc_B10 - Scd_B10)   stellarity = 0.69   chisq2 = 990.00   ODDS = 0.21   z_cluster = 0.228