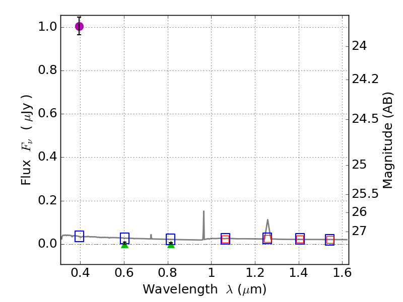
RXS0603+42-N IR detection object #870

Color images and BPZ results
Catalog: 870.cat
Black segments are analyzed here.   Roll mouse over color images to view segments.
Best viewed in a wide browser window (1200 pixels or more).   Download SED & P(z) plots to view larger versions.
In P(z) plots: Yellow lines mark the cluster redshift z = 0.228,  

Object #870   x,y = (2107, 3388)   RA, Dec = (06:03:16.272, 42:16:41.16) = (90.81780, 42.27810)   BPZ = 1.595 [1.094--2.223]   type = 11.00 (SB11_A_0_l)   stellarity = 0.98   chisq2 = 591.30   ODDS = 0.31   z_cluster = 0.228