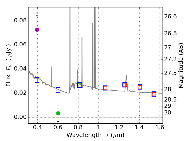
RXS0603+42-N IR detection object #8676

Color images and BPZ results
Catalog: 8676.cat
Black segments are analyzed here.   Roll mouse over color images to view segments.
Best viewed in a wide browser window (1200 pixels or more).   Download SED & P(z) plots to view larger versions.
In P(z) plots: Yellow lines mark the cluster redshift z = 0.228,  

Object #8676   x,y = (3529, 616)   RA, Dec = (06:03:08.592, 42:13:54.48) = (90.78580, 42.23180)   BPZ = 0.932 [0.628--2.365]   type = 11.00 (SB11_A_0_l)   stellarity = 0.37   chisq2 = 19.30   ODDS = 0.12   z_cluster = 0.228