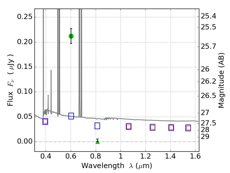
RXS0603+42-N IR detection object #867

Color images and BPZ results
Catalog: 867.cat
Black segments are analyzed here.   Roll mouse over color images to view segments.
Best viewed in a wide browser window (1200 pixels or more).   Download SED & P(z) plots to view larger versions.
In P(z) plots: Yellow lines mark the cluster redshift z = 0.228,  

Object #867   x,y = (1990, 3390)   RA, Dec = (06:03:16.896, 42:16:41.16) = (90.82040, 42.27810)   BPZ = 0.022 [0.010--2.543]   type = 11.00 (SB11_A_0_l)   stellarity = 0.68   chisq2 = 132.70   ODDS = 0.82   z_cluster = 0.228