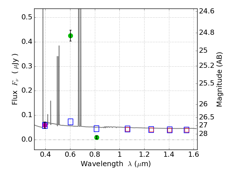
RXS0603+42-N IR detection object #857

Color images and BPZ results
Catalog: 857.cat
Black segments are analyzed here.   Roll mouse over color images to view segments.
Best viewed in a wide browser window (1200 pixels or more).   Download SED & P(z) plots to view larger versions.
In P(z) plots: Yellow lines mark the cluster redshift z = 0.228,  

Object #857   x,y = (3242, 3392)   RA, Dec = (06:03:10.128, 42:16:41.16) = (90.79220, 42.27810)   BPZ = 0.020 [0.010--0.048]   type = 11.00 (SB11_A_0_l)   stellarity = 0.74   chisq2 = 265.40   ODDS = 0.99   z_cluster = 0.228