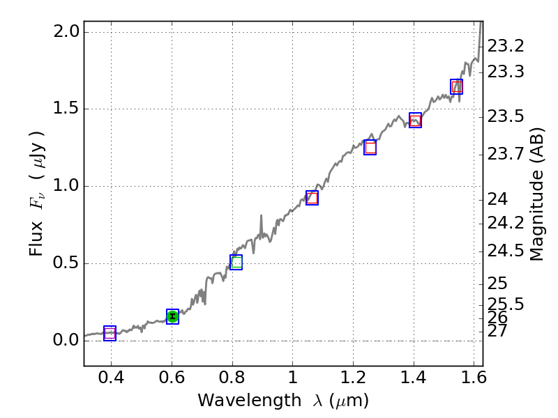
RXS0603+42-N IR detection object #8554

Color images and BPZ results
Catalog: 8554.cat
Black segments are analyzed here.   Roll mouse over color images to view segments.
Best viewed in a wide browser window (1200 pixels or more).   Download SED & P(z) plots to view larger versions.
In P(z) plots: Yellow lines mark the cluster redshift z = 0.228,  

Object #8554   x,y = (2604, 664)   RA, Dec = (06:03:13.584, 42:13:57.72) = (90.80660, 42.23270)   BPZ = 0.789 [0.203--5.055]   type = 6.00 (Sbc_B10)   stellarity = 0.71   chisq2 = 990.00   ODDS = 0.08   z_cluster = 0.228