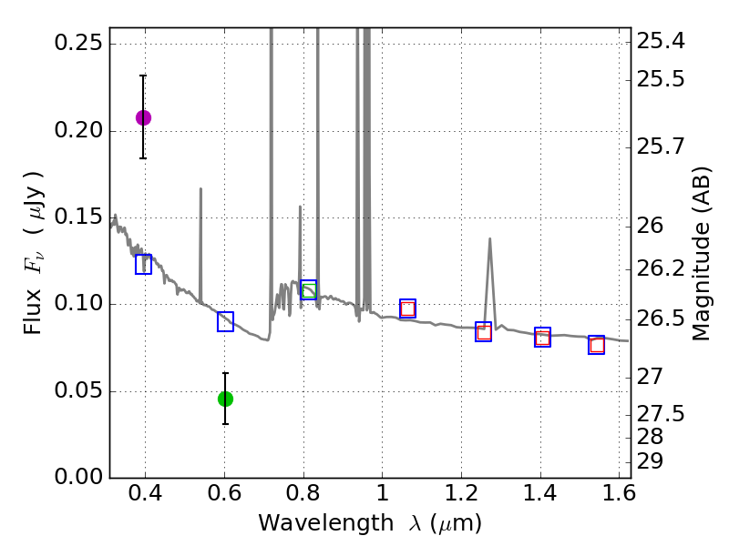
RXS0603+42-N IR detection object #8470

Color images and BPZ results
Catalog: 8470.cat
Black segments are analyzed here.   Roll mouse over color images to view segments.
Best viewed in a wide browser window (1200 pixels or more).   Download SED & P(z) plots to view larger versions.
In P(z) plots: Yellow lines mark the cluster redshift z = 0.228,  

Object #8470   x,y = (3008, 696)   RA, Dec = (06:03:11.400, 42:13:59.52) = (90.79750, 42.23320)   BPZ = 0.930 [0.776--2.060]   type = 11.00 (SB11_A_0_l)   stellarity = 0.08   chisq2 = 18.42   ODDS = 0.21   z_cluster = 0.228