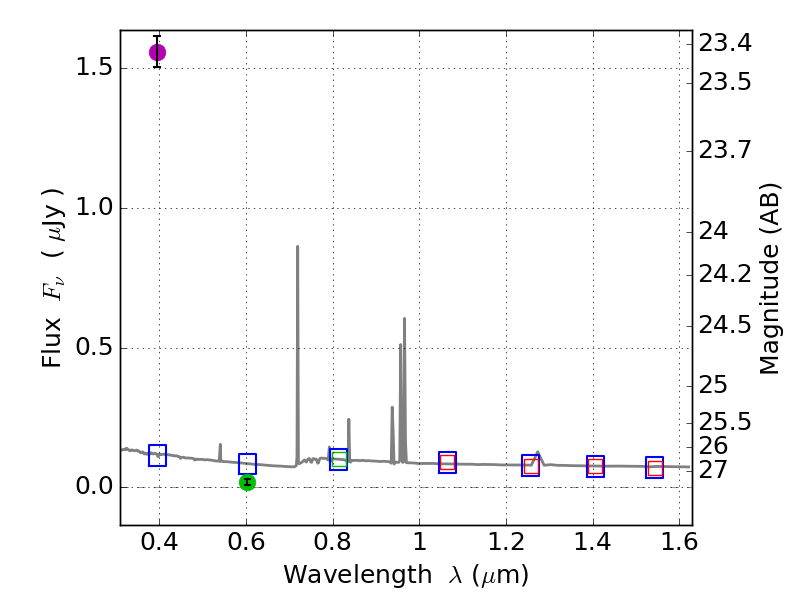
RXS0603+42-N IR detection object #8465

Color images and BPZ results
Catalog: 8465.cat
Black segments are analyzed here.   Roll mouse over color images to view segments.
Best viewed in a wide browser window (1200 pixels or more).   Download SED & P(z) plots to view larger versions.
In P(z) plots: Yellow lines mark the cluster redshift z = 0.228,  

Object #8465   x,y = (2775, 698)   RA, Dec = (06:03:12.672, 42:13:59.52) = (90.80280, 42.23320)   BPZ = 0.930 [0.891--1.762]   type = 11.00 (SB11_A_0_l)   stellarity = 0.70   chisq2 = 709.70   ODDS = 0.46   z_cluster = 0.228