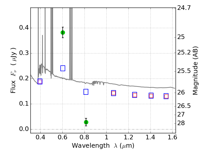
RXS0603+42-N IR detection object #8451

Color images and BPZ results
Catalog: 8451.cat
Black segments are analyzed here.   Roll mouse over color images to view segments.
Best viewed in a wide browser window (1200 pixels or more).   Download SED & P(z) plots to view larger versions.
In P(z) plots: Yellow lines mark the cluster redshift z = 0.228,  

Object #8451   x,y = (2520, 704)   RA, Dec = (06:03:14.040, 42:13:59.88) = (90.80850, 42.23330)   BPZ = 0.019 [0.010--0.040]   type = 11.00 (SB11_A_0_l)   stellarity = 0.99   chisq2 = 58.54   ODDS = 1.00   z_cluster = 0.228