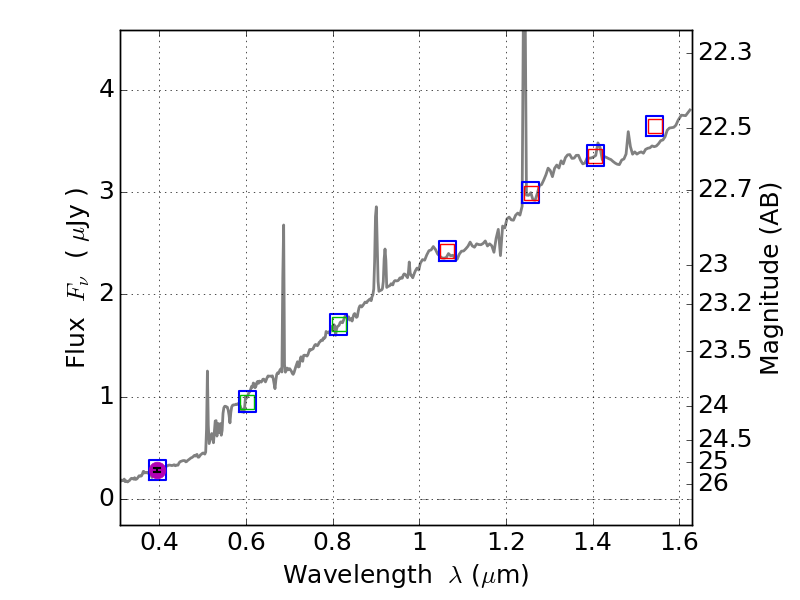
RXS0603+42-N IR detection object #8434

Color images and BPZ results
Catalog: 8434.cat
Black segments are analyzed here.   Roll mouse over color images to view segments.
Best viewed in a wide browser window (1200 pixels or more).   Download SED & P(z) plots to view larger versions.
In P(z) plots: Yellow lines mark the cluster redshift z = 0.228,  

Object #8434   x,y = (3786, 718)   RA, Dec = (06:03:07.200, 42:14:00.60) = (90.78000, 42.23350)   BPZ = 0.373 [0.051--0.865]   type = 6.70 (Scd_B10 - Sbc_B10)   stellarity = 0.80   chisq2 = 990.00   ODDS = 0.20   z_cluster = 0.228