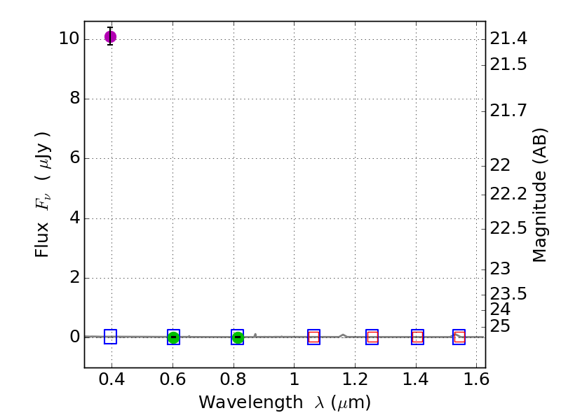
RXS0603+42-N IR detection object #838

Color images and BPZ results
Catalog: 838.cat
Black segments are analyzed here.   Roll mouse over color images to view segments.
Best viewed in a wide browser window (1200 pixels or more).   Download SED & P(z) plots to view larger versions.
In P(z) plots: Yellow lines mark the cluster redshift z = 0.228,  

Object #838   x,y = (2127, 3404)   RA, Dec = (06:03:16.176, 42:16:41.88) = (90.81740, 42.27830)   BPZ = 1.341 [0.302--4.799]   type = 11.00 (SB11_A_0_l)   stellarity = 1.00   chisq2 = 1143.00   ODDS = 0.10   z_cluster = 0.228