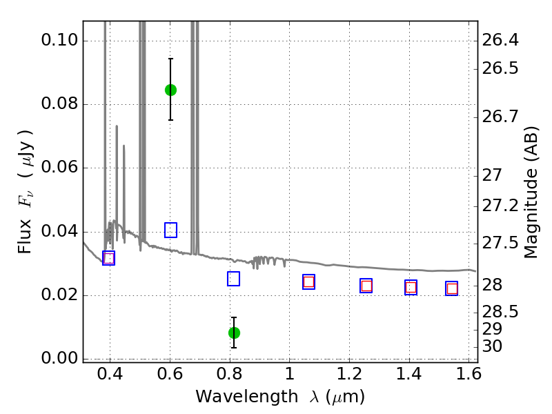
RXS0603+42-N IR detection object #8369

Color images and BPZ results
Catalog: 8369.cat
Black segments are analyzed here.   Roll mouse over color images to view segments.
Best viewed in a wide browser window (1200 pixels or more).   Download SED & P(z) plots to view larger versions.
In P(z) plots: Yellow lines mark the cluster redshift z = 0.228,  

Object #8369   x,y = (2489, 738)   RA, Dec = (06:03:14.208, 42:14:02.04) = (90.80920, 42.23390)   BPZ = 0.026 [0.020--3.096]   type = 11.00 (SB11_A_0_l)   stellarity = 0.76   chisq2 = 29.59   ODDS = 0.11   z_cluster = 0.228