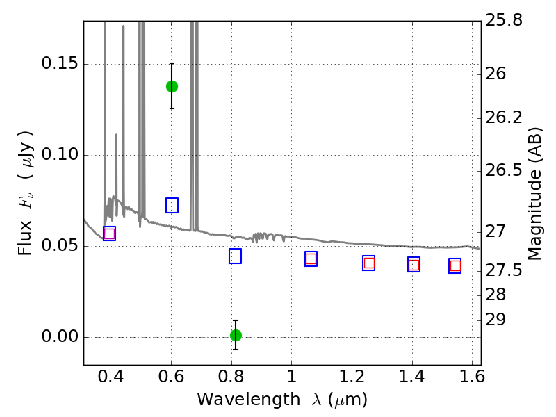
RXS0603+42-N IR detection object #8357

Color images and BPZ results
Catalog: 8357.cat
Black segments are analyzed here.   Roll mouse over color images to view segments.
Best viewed in a wide browser window (1200 pixels or more).   Download SED & P(z) plots to view larger versions.
In P(z) plots: Yellow lines mark the cluster redshift z = 0.228,  

Object #8357   x,y = (2561, 743)   RA, Dec = (06:03:13.824, 42:14:02.40) = (90.80760, 42.23400)   BPZ = 0.023 [0.011--2.829]   type = 11.00 (SB11_A_0_l)   stellarity = 0.72   chisq2 = 46.07   ODDS = 0.61   z_cluster = 0.228