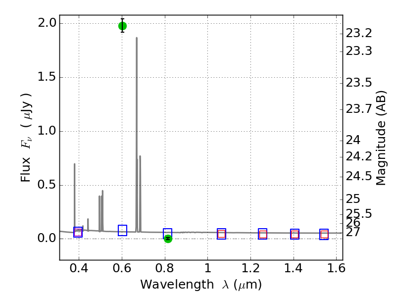
RXS0603+42-N IR detection object #8332

Color images and BPZ results
Catalog: 8332.cat
Black segments are analyzed here.   Roll mouse over color images to view segments.
Best viewed in a wide browser window (1200 pixels or more).   Download SED & P(z) plots to view larger versions.
In P(z) plots: Yellow lines mark the cluster redshift z = 0.228,  

Object #8332   x,y = (2417, 751)   RA, Dec = (06:03:14.592, 42:14:02.76) = (90.81080, 42.23410)   BPZ = 0.022 [0.010--2.871]   type = 11.00 (SB11_A_0_l)   stellarity = 1.00   chisq2 = 997.10   ODDS = 0.64   z_cluster = 0.228