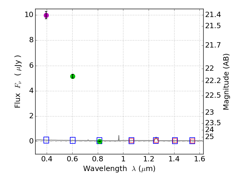
RXS0603+42-N IR detection object #83

Color images and BPZ results
Catalog: 83.cat
Black segments are analyzed here.   Roll mouse over color images to view segments.
Best viewed in a wide browser window (1200 pixels or more).   Download SED & P(z) plots to view larger versions.
In P(z) plots: Yellow lines mark the cluster redshift z = 0.228,  

Object #83   x,y = (2362, 3778)   RA, Dec = (06:03:14.904, 42:17:04.20) = (90.81210, 42.28450)   BPZ = 1.595 [0.740--2.281]   type = 11.00 (SB11_A_0_l)   stellarity = 0.93   chisq2 = 2251.00   ODDS = 0.34   z_cluster = 0.228