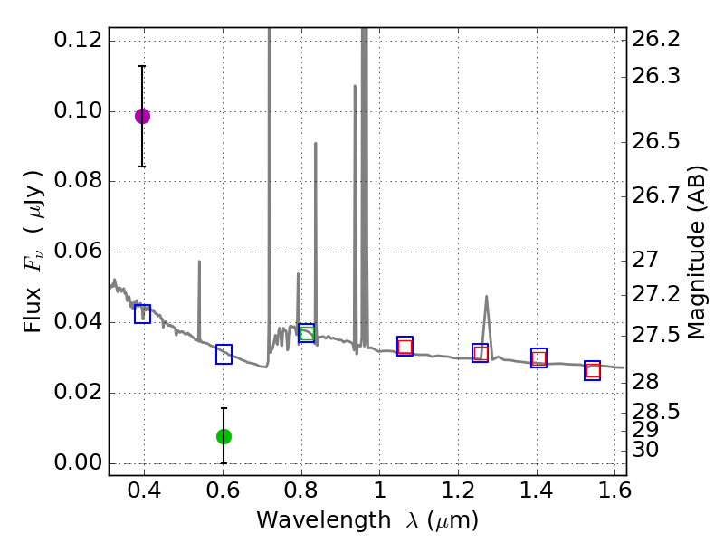
RXS0603+42-N IR detection object #8288

Color images and BPZ results
Catalog: 8288.cat
Black segments are analyzed here.   Roll mouse over color images to view segments.
Best viewed in a wide browser window (1200 pixels or more).   Download SED & P(z) plots to view larger versions.
In P(z) plots: Yellow lines mark the cluster redshift z = 0.228,  

Object #8288   x,y = (3110, 766)   RA, Dec = (06:03:10.848, 42:14:03.48) = (90.79520, 42.23430)   BPZ = 0.931 [0.683--2.252]   type = 11.00 (SB11_A_0_l)   stellarity = 0.36   chisq2 = 22.91   ODDS = 0.14   z_cluster = 0.228