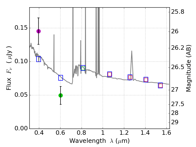
RXS0603+42-N IR detection object #8207

Color images and BPZ results
Catalog: 8207.cat
Black segments are analyzed here.   Roll mouse over color images to view segments.
Best viewed in a wide browser window (1200 pixels or more).   Download SED & P(z) plots to view larger versions.
In P(z) plots: Yellow lines mark the cluster redshift z = 0.228,  

Object #8207   x,y = (3034, 783)   RA, Dec = (06:03:11.256, 42:14:04.56) = (90.79690, 42.23460)   BPZ = 0.931 [0.704--2.178]   type = 11.00 (SB11_A_0_l)   stellarity = 0.05   chisq2 = 7.08   ODDS = 0.16   z_cluster = 0.228