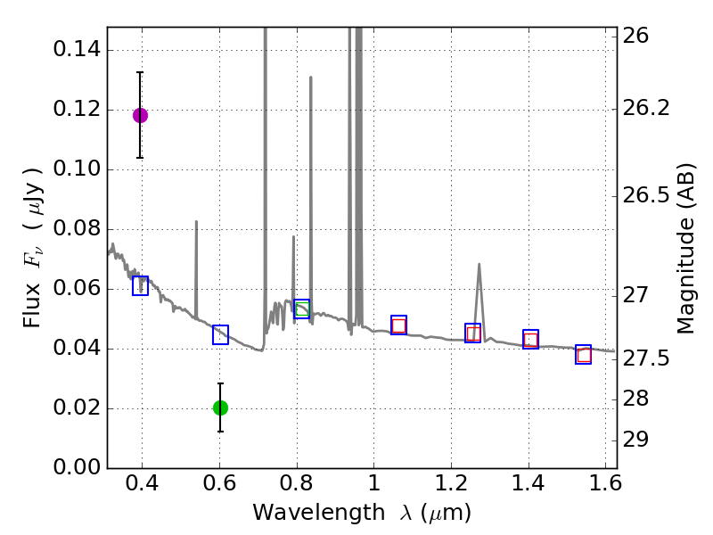
RXS0603+42-N IR detection object #8192

Color images and BPZ results
Catalog: 8192.cat
Black segments are analyzed here.   Roll mouse over color images to view segments.
Best viewed in a wide browser window (1200 pixels or more).   Download SED & P(z) plots to view larger versions.
In P(z) plots: Yellow lines mark the cluster redshift z = 0.228,  

Object #8192   x,y = (3575, 796)   RA, Dec = (06:03:08.352, 42:14:05.64) = (90.78480, 42.23490)   BPZ = 0.931 [0.760--2.113]   type = 11.00 (SB11_A_0_l)   stellarity = 0.08   chisq2 = 22.04   ODDS = 0.19   z_cluster = 0.228