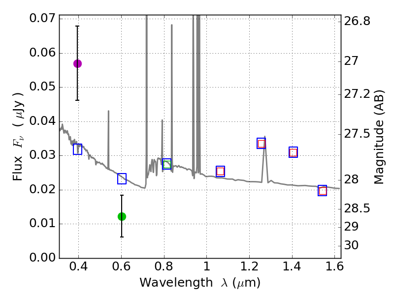
RXS0603+42-N IR detection object #8179

Color images and BPZ results
Catalog: 8179.cat
Black segments are analyzed here.   Roll mouse over color images to view segments.
Best viewed in a wide browser window (1200 pixels or more).   Download SED & P(z) plots to view larger versions.
In P(z) plots: Yellow lines mark the cluster redshift z = 0.228,  

Object #8179   x,y = (3501, 803)   RA, Dec = (06:03:08.736, 42:14:06.00) = (90.78640, 42.23500)   BPZ = 0.933 [0.571--2.385]   type = 11.00 (SB11_A_0_l)   stellarity = 0.38   chisq2 = 8.01   ODDS = 0.12   z_cluster = 0.228