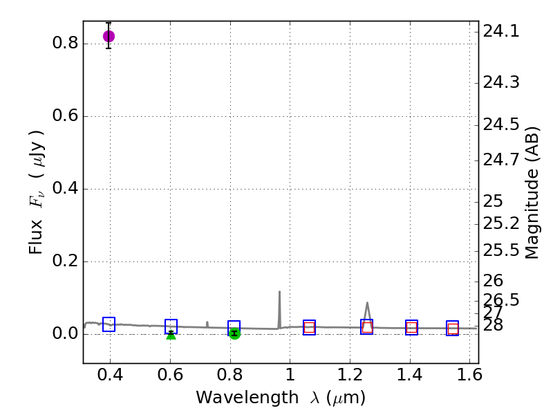
RXS0603+42-N IR detection object #7932

Color images and BPZ results
Catalog: 7932.cat
Black segments are analyzed here.   Roll mouse over color images to view segments.
Best viewed in a wide browser window (1200 pixels or more).   Download SED & P(z) plots to view larger versions.
In P(z) plots: Yellow lines mark the cluster redshift z = 0.228,  

Object #7932   x,y = (2267, 914)   RA, Dec = (06:03:15.408, 42:14:12.48) = (90.81420, 42.23680)   BPZ = 1.595 [1.016--2.294]   type = 11.00 (SB11_A_0_l)   stellarity = 0.99   chisq2 = 532.90   ODDS = 0.28   z_cluster = 0.228