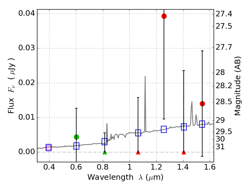
RXS0603+42-N IR detection object #7924

Color images and BPZ results
Catalog: 7924.cat
Black segments are analyzed here.   Roll mouse over color images to view segments.
Best viewed in a wide browser window (1200 pixels or more).   Download SED & P(z) plots to view larger versions.
In P(z) plots: Yellow lines mark the cluster redshift z = 0.228,  

Object #7924   x,y = (2156, 950)   RA, Dec = (06:03:16.008, 42:14:14.64) = (90.81670, 42.23740)   BPZ = 1.227 [0.327--8.508]   type = 8.00 (SB1_B10)   stellarity = 0.99   chisq2 = 0.66   ODDS = 0.06   z_cluster = 0.228