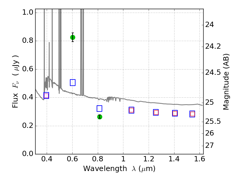
RXS0603+42-N IR detection object #7913

Color images and BPZ results
Catalog: 7913.cat
Black segments are analyzed here.   Roll mouse over color images to view segments.
Best viewed in a wide browser window (1200 pixels or more).   Download SED & P(z) plots to view larger versions.
In P(z) plots: Yellow lines mark the cluster redshift z = 0.228,  

Object #7913   x,y = (2263, 801)   RA, Dec = (06:03:15.432, 42:14:05.64) = (90.81430, 42.23490)   BPZ = 0.017 [0.010--0.033]   type = 11.00 (SB11_A_0_l)   stellarity = 0.89   chisq2 = 50.63   ODDS = 1.00   z_cluster = 0.228