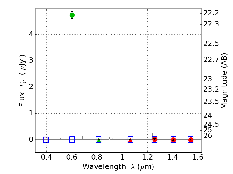
RXS0603+42-N IR detection object #7838

Color images and BPZ results
Catalog: 7838.cat
Black segments are analyzed here.   Roll mouse over color images to view segments.
Best viewed in a wide browser window (1200 pixels or more).   Download SED & P(z) plots to view larger versions.
In P(z) plots: Yellow lines mark the cluster redshift z = 0.228,  

Object #7838   x,y = (1932, 942)   RA, Dec = (06:03:17.232, 42:14:14.28) = (90.82180, 42.23730)   BPZ = 0.370 [0.073--2.176]   type = 10.00 (SB3_B10)   stellarity = 1.00   chisq2 = 382.60   ODDS = 0.12   z_cluster = 0.228