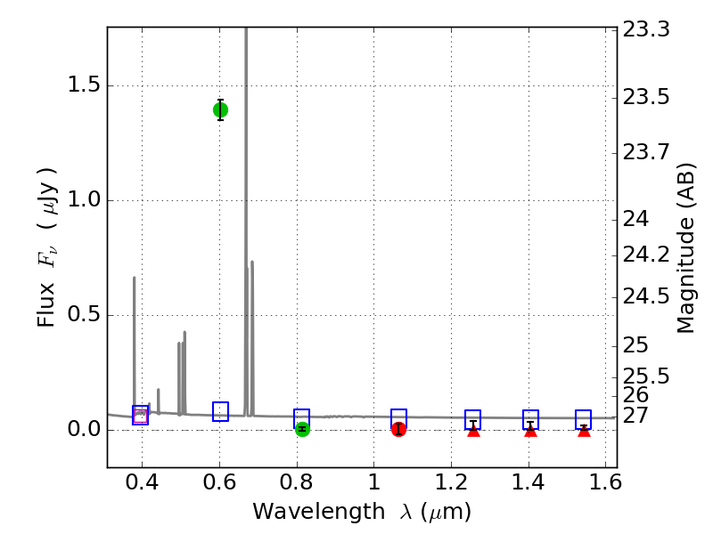
RXS0603+42-N IR detection object #7764

Color images and BPZ results
Catalog: 7764.cat
Black segments are analyzed here.   Roll mouse over color images to view segments.
Best viewed in a wide browser window (1200 pixels or more).   Download SED & P(z) plots to view larger versions.
In P(z) plots: Yellow lines mark the cluster redshift z = 0.228,  

Object #7764   x,y = (1883, 976)   RA, Dec = (06:03:17.472, 42:14:16.44) = (90.82280, 42.23790)   BPZ = 0.021 [0.010--0.058]   type = 11.00 (SB11_A_0_l)   stellarity = 0.90   chisq2 = 282.30   ODDS = 0.98   z_cluster = 0.228