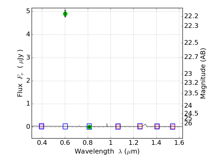
RXS0603+42-N IR detection object #7723

Color images and BPZ results
Catalog: 7723.cat
Black segments are analyzed here.   Roll mouse over color images to view segments.
Best viewed in a wide browser window (1200 pixels or more).   Download SED & P(z) plots to view larger versions.
In P(z) plots: Yellow lines mark the cluster redshift z = 0.228,  

Object #7723   x,y = (1782, 994)   RA, Dec = (06:03:18.024, 42:14:17.16) = (90.82510, 42.23810)   BPZ = 1.597 [0.321--5.503]   type = 11.00 (SB11_A_0_l)   stellarity = 0.93   chisq2 = 1141.00   ODDS = 0.09   z_cluster = 0.228