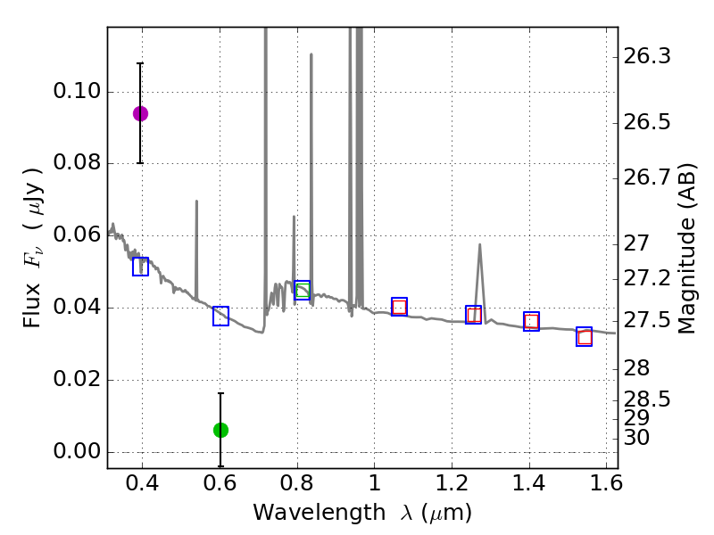
RXS0603+42-N IR detection object #7707

Color images and BPZ results
Catalog: 7707.cat
Black segments are analyzed here.   Roll mouse over color images to view segments.
Best viewed in a wide browser window (1200 pixels or more).   Download SED & P(z) plots to view larger versions.
In P(z) plots: Yellow lines mark the cluster redshift z = 0.228,  

Object #7707   x,y = (3802, 1002)   RA, Dec = (06:03:07.104, 42:14:17.88) = (90.77960, 42.23830)   BPZ = 0.931 [0.697--2.235]   type = 11.00 (SB11_A_0_l)   stellarity = 0.39   chisq2 = 17.42   ODDS = 0.14   z_cluster = 0.228