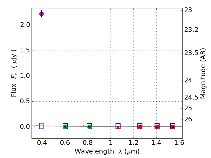
RXS0603+42-N IR detection object #7634

Color images and BPZ results
Catalog: 7634.cat
Black segments are analyzed here.   Roll mouse over color images to view segments.
Best viewed in a wide browser window (1200 pixels or more).   Download SED & P(z) plots to view larger versions.
In P(z) plots: Yellow lines mark the cluster redshift z = 0.228,  

Object #7634   x,y = (2028, 1028)   RA, Dec = (06:03:16.704, 42:14:19.32) = (90.81960, 42.23870)   BPZ = 1.731 [0.479--6.928]   type = 11.00 (SB11_A_0_l)   stellarity = 0.98   chisq2 = 244.90   ODDS = 0.17   z_cluster = 0.228