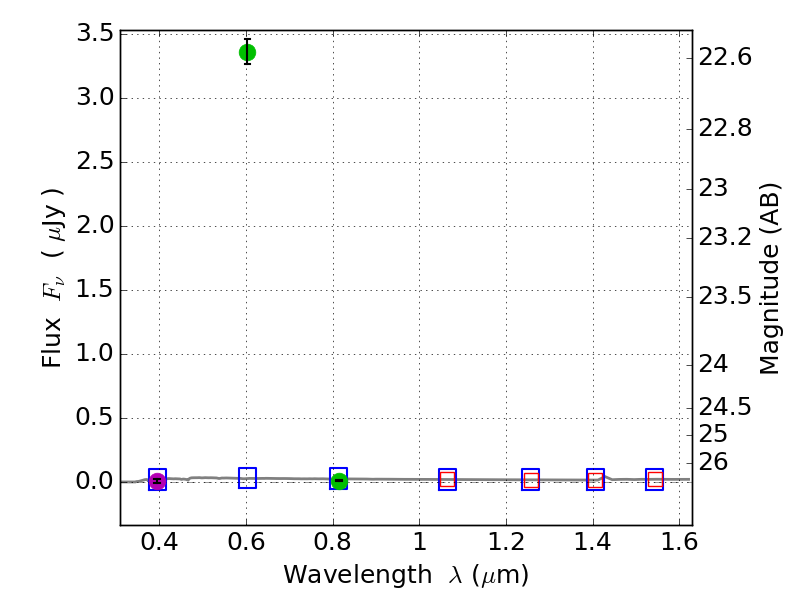
RXS0603+42-N IR detection object #759

Color images and BPZ results
Catalog: 759.cat
Black segments are analyzed here.   Roll mouse over color images to view segments.
Best viewed in a wide browser window (1200 pixels or more).   Download SED & P(z) plots to view larger versions.
In P(z) plots: Yellow lines mark the cluster redshift z = 0.228,  

Object #759   x,y = (3193, 3440)   RA, Dec = (06:03:10.416, 42:16:44.04) = (90.79340, 42.27890)   BPZ = 2.845 [0.244--3.670]   type = 11.00 (SB11_A_0_l)   stellarity = 0.68   chisq2 = 1096.00   ODDS = 0.17   z_cluster = 0.228