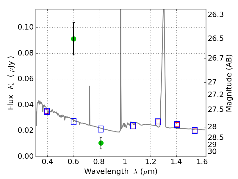
RXS0603+42-N IR detection object #7579

Color images and BPZ results
Catalog: 7579.cat
Black segments are analyzed here.   Roll mouse over color images to view segments.
Best viewed in a wide browser window (1200 pixels or more).   Download SED & P(z) plots to view larger versions.
In P(z) plots: Yellow lines mark the cluster redshift z = 0.228,  

Object #7579   x,y = (1685, 1048)   RA, Dec = (06:03:18.552, 42:14:20.40) = (90.82730, 42.23900)   BPZ = 1.596 [0.211--3.371]   type = 11.00 (SB11_A_0_l)   stellarity = 0.66   chisq2 = 29.82   ODDS = 0.13   z_cluster = 0.228