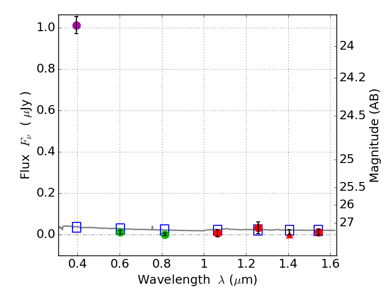
RXS0603+42-N IR detection object #7573

Color images and BPZ results
Catalog: 7573.cat
Black segments are analyzed here.   Roll mouse over color images to view segments.
Best viewed in a wide browser window (1200 pixels or more).   Download SED & P(z) plots to view larger versions.
In P(z) plots: Yellow lines mark the cluster redshift z = 0.228,  

Object #7573   x,y = (1941, 1044)   RA, Dec = (06:03:17.160, 42:14:20.40) = (90.82150, 42.23900)   BPZ = 1.699 [1.236--2.208]   type = 11.00 (SB11_A_0_l)   stellarity = 0.99   chisq2 = 152.40   ODDS = 0.44   z_cluster = 0.228