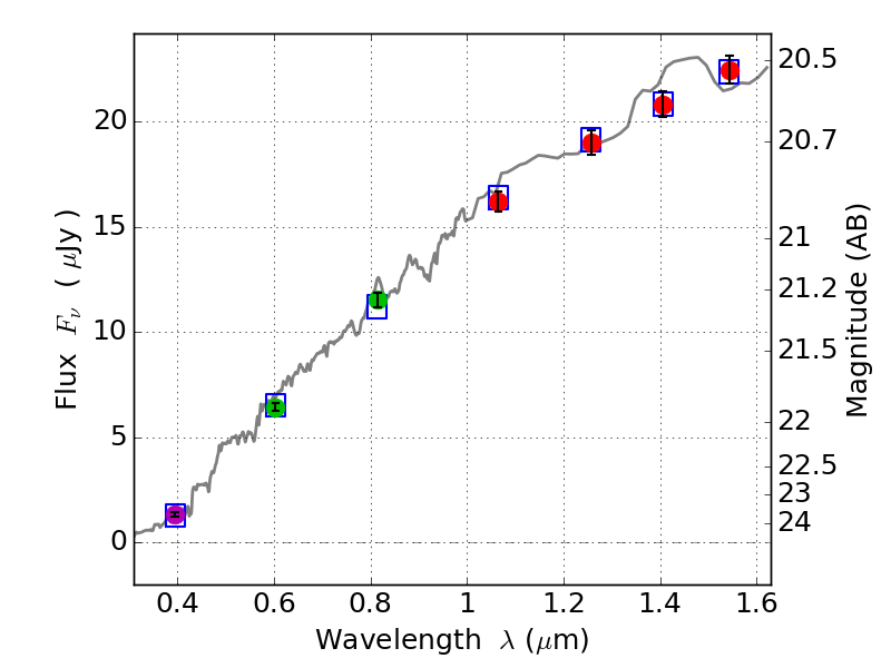
RXS0603+42-N IR detection object #7555

Color images and BPZ results
Catalog: 7555.cat
Black segments are analyzed here.   Roll mouse over color images to view segments.
Best viewed in a wide browser window (1200 pixels or more).   Download SED & P(z) plots to view larger versions.
In P(z) plots: Yellow lines mark the cluster redshift z = 0.228,  

Object #7555   x,y = (2396, 1042)   RA, Dec = (06:03:14.712, 42:14:20.40) = (90.81130, 42.23900)   BPZ = 0.076 [0.038--0.162]   type = 4.50 (ES0_B10 - Ell4_A_0)   stellarity = 0.03   chisq2 = 0.02   ODDS = 0.87   z_cluster = 0.228