RXS0603+42-N IR detection object #7539

Color images and BPZ results
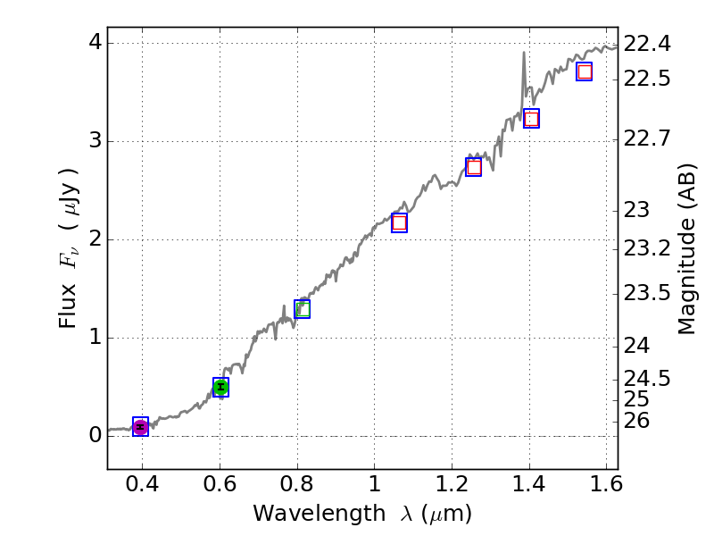
Catalog: 7539.cat
Black segments are analyzed here.   Roll mouse over color images to view segments.
Best viewed in a wide browser window (1200 pixels or more).   Download SED & P(z) plots to view larger versions.
In P(z) plots: Yellow lines mark the cluster redshift z = 0.228,  

Object #7539   x,y = (3834, 1022)   RA, Dec = (06:03:06.936, 42:14:18.96) = (90.77890, 42.23860)   BPZ = 0.527 [0.187--3.362]   type = 5.80 (Sbc_B10 - ES0_B10)   stellarity = 0.66   chisq2 = 0.00   ODDS = 0.18   z_cluster = 0.228