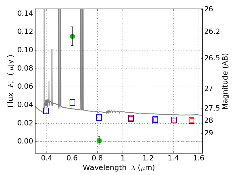
RXS0603+42-N IR detection object #7531

Color images and BPZ results
Catalog: 7531.cat
Black segments are analyzed here.   Roll mouse over color images to view segments.
Best viewed in a wide browser window (1200 pixels or more).   Download SED & P(z) plots to view larger versions.
In P(z) plots: Yellow lines mark the cluster redshift z = 0.228,  

Object #7531   x,y = (1717, 1065)   RA, Dec = (06:03:18.384, 42:14:21.48) = (90.82660, 42.23930)   BPZ = 0.023 [0.012--2.933]   type = 11.00 (SB11_A_0_l)   stellarity = 0.70   chisq2 = 68.63   ODDS = 0.42   z_cluster = 0.228