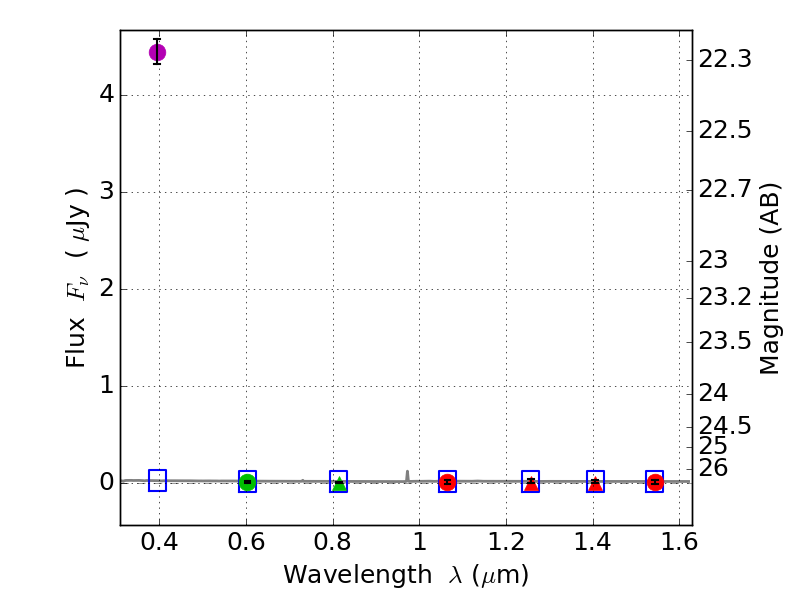
RXS0603+42-N IR detection object #7476

Color images and BPZ results
Catalog: 7476.cat
Black segments are analyzed here.   Roll mouse over color images to view segments.
Best viewed in a wide browser window (1200 pixels or more).   Download SED & P(z) plots to view larger versions.
In P(z) plots: Yellow lines mark the cluster redshift z = 0.228,  

Object #7476   x,y = (1869, 1082)   RA, Dec = (06:03:17.544, 42:14:22.56) = (90.82310, 42.23960)   BPZ = 1.610 [0.333--6.756]   type = 11.00 (SB11_A_0_l)   stellarity = 1.00   chisq2 = 279.50   ODDS = 0.10   z_cluster = 0.228